Texas State ExpressOffers Procedures

Texas State ExpressOffers Procedures

Situation 1:  Do you have this property already under a Listing Agreement?
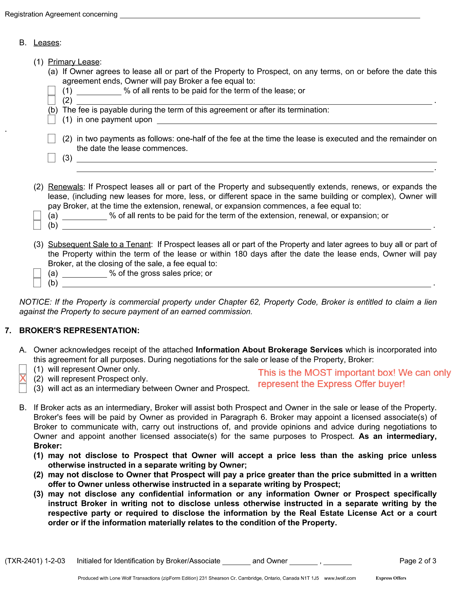
  1. YES: STOP. Reach out to your Managing Broker. All ExpressOffers MUST represent the iBuyer, Intermediary may not be used. Listing Agreement will need to be terminated.
  2. NO: Proceed to Situation 2.
Situation 2:  You have a property that is not currently on the MLS and would be a candidate for ExpressOffers:
  1. Check to ensure the property completely fits a Buy Box.
  2. Make an appointment with the owner(s) to discuss the ExpressOffers process.
  3. Provide Owner(s) with CMA and Disclosure to Seller brochure (can be downloaded in the ExpressOffers platform under Downloads).
  4. If owner(s) wish to move forward, forms MUST be completed in this order:
    1. IABS
    2. ExpressOffers Disclosure to Seller acknowledgement
    3. Registration Agreement Between Broker/Owner (EXAMPLE below)
    4. Any required disclosures/notices/addenda
  5. Complete the required ExpressOffers Property Condition Report.
  6. Enter the Express Offers Listing in SkySlope.
  7. Submit the property into the ExpressOffers platform. 
Outcome 1: OFFER ACCEPTED!

Connect with the Buyer and complete All Buyer Required documents, contract, disclosures, addenda, etc. as you would for any transaction in Texas. Send them to the Seller for signature and place an Executed Date on the contract when all signatures have been obtained. Continue as you would for a regular Transaction.

Outcome 2 : NO OFFER/OFFER NOT ACCEPTED

After all EO Listing Documentation has been loaded into SkySlope, cancel the Listing.
**No Listing Termination is required because the Registration Agreement Between Broker/Owner had a short term period.

Option: Go back to the Seller and ask if they would like to sign a Listing Agreement (this could also be done at the initial meeting- Listing Date MUST start after the termination date on the Registration Agreement Between Broker/Owner) and go on the resale market. If so, follow all the regular procedures for a traditional MLS Listing.






    • Related Articles

    • Louisiana ExpressOffers Procedures

      When you do a listing presentation with a seller and believe the house might be a prospect for an iBuyer, you will complete a normal listing agreement with the seller along with all documents required. You will then write an addendum to the listing ...
    • Colorado ExpressOffers Procedures

      Jes and I created a video to explain why we have to do the procedure this way. Watch it here. Situation 1: You found an off market property that would be a candidate for the ExpressOffers program: Check to ensure the property completely fits a Buy ...
    • How do I get started with ExpressOffers?

      Getting started with ExpressOffers is a straightforward process. Follow these three steps to begin using the platform: 1. Join the ExpressOffers Workplace Group The Workplace group is where you’ll find updates, resources, and important announcements. ...
    • How does ExpressOffers vet our iBuyers?

      This is the vetting process to bring an iBuyer into our ExpressOffers platform: An iBuyer is expected to give us Proof of Funds (POF) in the highest amount of their Buy Box every two months. For example, if their Buy Box shows $100,000 to $500,000, ...
    • What are the competitive advantages of the ExpressOffers program?

      ExpressOffers stands out in the real estate market, offering unparalleled advantages to sellers seeking speed, convenience, certainty, and control in their transactions. Here's how our program distinguishes itself: Speed: In markets with Opendoor ...